Langgam.id – Jumlah kasus Covid-19 di Sumatra Barat (Sumbar) kini nomor 1 terbanyak di Sumatra. Sementara di tingkat nasional, Sumbar berada di peringkat ke-6, di bawah DKI Jakarta, Jawa Timur, Jawa Barat, Jawa Tengah dan Sulawesi Selatan. Demikian data Kementerian Kesehatan yang dirilis akun twitter resmi Badan Nasional Penanggulangan Bencana (BNPB) pada Rabu (4/11/2020).
Di Sumatra, jumlah kasus di Sumbar melewati jumlah Riau yang kini berada di peringkat ke-7. Posisi itu sudah terjadi sejak Selasa (3/11/2020) lalu, sebagaimana dirilis situs resmi Satgas covid19.go.id dan masih pada posisi yang sama dengan angka berbeda berdasar data Kementerian Kesehatan pada Rabu (4/11/2020).
Sebelumnya, berdasar presentasi “Covid dalam Angka: Sumbar di Antara Provinsi Lain di Indonesia” yang dirilis Kepala Pusat Diagnostik dan Riset Penyakit Infeksi Fakultas Kedokteran Universitas Andalas Andani Eka Putra pada Selasa (13/10/2020), terlihat, di awal Oktober 2020, jumlah orang yang menjalani tes swab di Sumbar, nomor 3 terbanyak di Indonesia, setelah DKI Jakarta dan Jawa Tengah.
Jumlah pemeriksaan di Sumbar lebih banyak dari Jawa Timur (Jatim) dan Jawa Barat (Jabar) yang jumlah penduduknya 8-10 kali lipat Sumbar. Jumlah penduduk Sumbar sekitar 5 juta orang, sementara Jatim dan Jabar masing-masing sekitar 40 juta dan 50 juta jiwa. Hanya 10 provinsi di Indonesia yang memenuhi kriteria pemeriksaan sesuai standar WHO.
.
Baca Juga: Perbandingan Angka Covid-19 Sumbar dan Provinsi Lain di Awal Oktober 2020
Meski demikian, persentase temuan positif dari jumlah orang yang diperiksa (positivity rate) di Sumbar juga naik. Data Pemprov Sumbar pada Rabu (4/11/2020) menyebut, total warga Sumbar yang telah tes swab adalah 220.469 orang. Angka positivity rate: 6,89 persen.
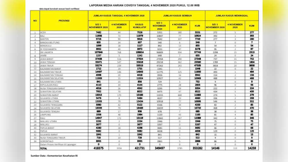
Berikut data kasus Covid-19 di 34 provinsi sebagaimana dirilis akun twitter resmi Badan Nasional Penanggulangan Bencana @BNPB_Indonesia pada Rabu (4/11/2020):
.
1. DKI Jakarta
Kasus Positif Baru: 768 orang
Sembuh: 97.743 orang
Meninggal Dunia: 2.313 orang
Total Kasus: 108.614 orang
.
2. Jawa Timur
Kasus Positif Baru: 239 orang
Sembuh: 47.505 orang
Meninggal Dunia: 3.838 orang
Total Kasus: 53.513 orang
3. Jawa Barat
Kasus Positif Baru: 516 orang
Sembuh: 27.348 orang
Meninggal Dunia: 752 orang
Total Kasus: 37.924 orang
.
4. Jawa Tengah
Kasus Positif Baru: 547 orang
Sembuh: 29.580 orang
Meninggal Dunia: 1.804 orang
Total Kasus: 35.618 orang
5. Sulawesi Selatan
Kasus Positif Baru: 70 orang
Sembuh: 16.730 orang
Meninggal Dunia: 470 orang
Total Kasus: 18.469 orang
.
6. Sumatra Barat
Kasus Positif Baru: 170 orang
Sembuh: 11.683 orang
Meninggal Dunia: 279 orang
Total Kasus: 15.183 orang
7. Riau
Kasus Positif Baru: 172 orang
Sembuh: 12.089 orang
Meninggal Dunia: 346 orang
Total Kasus: 15.119 orang
.
8. Kalimantan Timur
Kasus Positif Baru: 146 orang
Sembuh: 11.900 orang
Meninggal Dunia: 494 orang
Total Kasus: 14.643 orang
9. Sumatra Utara
Kasus Positif Baru: 79 orang
Sembuh: 10.995 orang
Meninggal Dunia: 552 orang
Total Kasus: 13.434 orang
.
10. Kalimantan Selatan
Kasus Positif Baru: 15 orang
Sembuh: 10.969 orang
Meninggal Dunia: 488 orang
Total Kasus: 11.924 orang
11. Bali
Kasus Positif Baru: 73 orang
Sembuh: 10.924 orang
Meninggal Dunia: 393 orang
Total Kasus: 11.979 orang
.
12. Banten
Kasus Positif Baru: 90 orang
Sembuh: 7.749 orang
Meninggal Dunia: 280 orang
Total Kasus: 9.816 orang
13. Papua
Kasus Positif Baru: – orang
Sembuh: 4.658 orang
Meninggal Dunia: 129 orang
Total Kasus: 9.082 orang
.
14. Sumatra Selatan
Kasus Positif Baru: 70 orang
Sembuh: 6.522 orang
Meninggal Dunia: 439 orang
Total Kasus: 8.022 orang
15. Aceh
Kasus Positif Baru: 44 orang
Sembuh: 5.531 orang
Meninggal Dunia: 277 orang
Total Kasus: 7.526 orang
16. Sulawesi Utara
Kasus Positif Baru: 8 orang
Sembuh: 4.660 orang
Meninggal Dunia: 208 orang
Total Kasus: 5.484 orang
17. Sulawesi Tenggara
Kasus Positif Baru: 42 orang
Sembuh: 4.200 orang
Meninggal Dunia: 85 orang
Total Kasus: 5.122 orang
18. Kalimantan Tengah
Kasus Positif Baru: 20 orang
Sembuh: 3.942 orang
Meninggal Dunia: 156 orang
Total Kasus: 4.418 orang
19. Papua Barat
Kasus Positif Baru: 18 orang
Sembuh: 3.692 orang
Meninggal Dunia: 68 orang
Total Kasus: 4.298 orang
20. Kepulauan Riau
Kasus Positif Baru: 34 orang
Sembuh: 2.803 orang
Meninggal Dunia: 96 orang
Total Kasus: 4.144 orang
21. Nusa Tenggara Barat
Kasus Positif Baru: 26 orang
Sembuh: 3.354 orang
Meninggal Dunia: 224 orang
Total Kasus: 4.042 orang
22. Maluku
Kasus Positif Baru: – orang
Sembuh: 3.267 orang
Meninggal Dunia: 47 orang
Total Kasus: 3.877 orang
23. DI Yogyakarta
Kasus Positif Baru: 40 orang
Sembuh: 3.278 orang
Meninggal Dunia: 97 orang
Total Kasus: 3.972 orang
24. Gorontalo
Kasus Positif Baru: – orang
Sembuh: 2.866 orang
Meninggal Dunia: 86 orang
Total Kasus: 3.031 orang
25. Maluku Utara
Kasus Positif Baru: 2 orang
Sembuh: 1.946 orang
Meninggal Dunia: 75 orang
Total Kasus: 2.234 orang
26. Lampung
Kasus Positif Baru: 48 orang
Sembuh: 1.163 orang
Meninggal Dunia: 85 orang
Total Kasus: 1.984 orang
27. Kalimantan Barat
Kasus Positif Baru: 19 orang
Sembuh: 1.348 orang
Meninggal Dunia: 22 orang
Total Kasus: 1.731 orang
28. Jambi
Kasus Positif Baru: 5 orang
Sembuh: 655 orang
Meninggal Dunia: 24 orang
Total Kasus: 1.242 orang
29. Bengkulu
Kasus Positif Baru: 18 orang
Sembuh: 855 orang
Meninggal Dunia: 54 orang
Total Kasus: 1.117 orang
30. Sulawesi Barat
Kasus Positif Baru: 1 orang
Sembuh: 842 orang
Meninggal Dunia: 15 orang
Total Kasus: 1.042 orang
31. Sulawesi Tengah
Kasus Positif Baru: 17 orang
Sembuh: 685 orang
Meninggal Dunia: 38 orang
Total Kasus: 906 orang
32. Kalimantan Utara
Kasus Positif Baru: 15 orang
Sembuh: 732 orang
Meninggal Dunia: 9 orang
Total Kasus: 856 orang
33. Nusa Tenggara Timur
Kasus Positif Baru: 10 orang
Sembuh: 522 orang
Meninggal Dunia: 9 orang
Total Kasus: 728 orang
34. Kepulauan Bangka Belitung
Kasus Positif Baru: 34 orang
Sembuh: 546 orang
Meninggal Dunia: 7 orang
Total Kasus: 637 orang
(*/SS)

Kasus Covid-19 di 34 Provinsi di Indonesia data 4 November 2020. (Sumber: twitter resmi BNPB Indonesia)






